How To Learn
Pages
Home
Grade 12
Grade 11
Grade 10
Grade 9
Grade 8
Grade 7
Grade 6
Grade 5
Grade 4
Grade 3
Grade 2
Grade 1
Kindergarten
STEAM
Belcastro Math
Tuesday, October 22, 2019
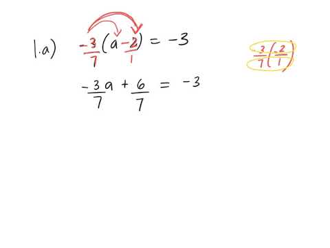
How to isolate a variable 4.2 gr 10 applied 10 22 19
via
IFTTT
No comments:
Post a Comment
Newer Post
Older Post
Home
Subscribe to:
Post Comments (Atom)
No comments:
Post a Comment