How To Learn
Pages
Home
Grade 12
Grade 11
Grade 10
Grade 9
Grade 8
Grade 7
Grade 6
Grade 5
Grade 4
Grade 3
Grade 2
Grade 1
Kindergarten
STEAM
Belcastro Math
Monday, February 12, 2018
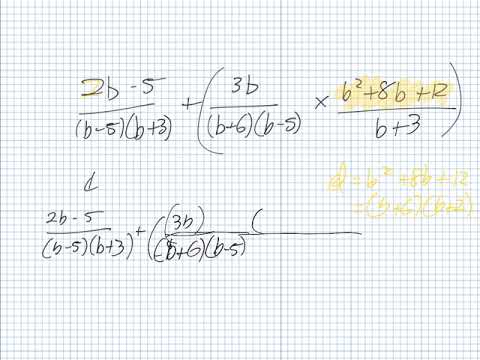
Adding and Multiplying Rational Expressions
via
IFTTT
No comments:
Post a Comment
Newer Post
Older Post
Home
Subscribe to:
Post Comments (Atom)
No comments:
Post a Comment